Телескоп, который должен был всё подтвердить, начал всё ставить под сомнение
«Лекционные заметки представляют теоретические основы формирования галактик в первую эпоху Вселенной и обсуждают, ставят ли наблюдения JWST фундаментальные вызовы современной космологической парадигме.»
Стоп, что?
Космос не читал наших учебников.
Представьте, что археологи нашли в пещере каменного века смартфон. Примерно так астрономы смотрят на данные с JWST о первых галактиках.
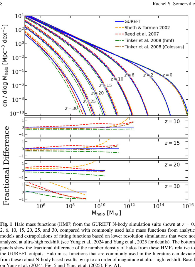
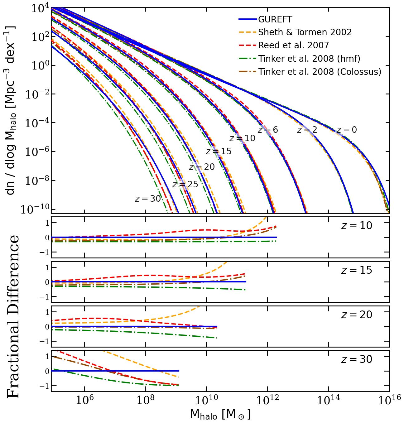
Что происходит? Новые наблюдения космического телескопа Джеймса Уэбба (JWST) за галактиками, сформировавшимися в первые миллиард лет после Большого взрыва, поставили под вопрос нашу фундаментальную модель Вселенной — ΛCDM (Лямбда-CDM).
Реальные данные из лекций: • Исследователи обсуждают, являются ли эти наблюдения «серьёзным и фундаментальным вызовом» для парадигмы. • Теория формирования галактик в ранней Вселенной, похоже, требует пересмотра. • Учёные сейчас активно ищут способы «подогнать» модели под новые шокирующие данные или признать, что мы упускаем какую-то ключевую физику.
Что это значит для вас
Так что же увидел Уэбб? Огромные, слишком яркие или слишком старые галактики? Пока мы не знаем точно. Но вопрос уже не в том, **правы ли мы**, а в том, **насколько сильно мы ошибались**.
📚 Глоссарий этого выпуска
🖼️ Визуальный ряд исследования









